煉鐵和煉鋼過程中不斷產生各種粉塵。收集到的粉塵在運輸、儲存和利用過程中會造成二次排放。微細粉塵也會造成回收困難。安賽樂米塔爾研究了通過微球化緩解粉塵的問題。對圓盤制粒機、回轉窯、高剪切混合機、深筒制粒機、強力混合器、針式攪拌機等各種微球化設備進行了研究和評價。初步結果表明,高剪切混合機可以提供最佳的技術經濟效益。
在鋼鐵冶煉過程中,會不斷地產生各種粉塵,這些粉塵的收集包括燒結廠靜電除塵器(ESP)、高爐(BF)除塵器或旋風除塵器、堿性氧氣轉爐(BOF)ESP、電弧爐(EAF)袋式除塵器、高爐料倉袋式除塵器及其他許多集材料、卸料、破碎、篩分、脫硫、精煉等為一體的袋式除塵器。
傳統上,燒結廠的設計是為了回收煉鐵和煉鋼的固體廢物。近年來,壓塊技術也被用于固體廢物的回收利用。燒結和壓塊工藝都可以消耗煉鐵和煉鋼的粉塵,似乎是很好的解決方案。然而,煉鐵和煉鋼粉塵仍然存在一些問題。首先,當粉塵從收集點被輸送到燒結廠或壓塊廠并在這些廠處理時,粉塵會在地面和空氣中產生二次排放。其次,由于不適當的化學和物理性質,一些粉塵無法在內部回收,不得不運出,在外部回收或填埋,在運輸過程中,粉塵有可能因泄漏而污染環境。第三,煉鐵和煉鋼粉塵通常都很細,會嚴重惡化燒結層的透氣性,從而使燒結礦的性能惡化。第四,燒結混合料中過多的細粉塵會導致燒結廠煙囪排放過高,并可能導致煙囪不透明度測試失敗。因此,如何從經濟和環境兩個方面減輕煉鐵、煉鋼過程中粉塵對環境和生產的負面影響,仍然是一個挑戰。
在煉鐵工業中,隨著高品位鐵礦石的枯竭,越來越多的鐵精礦被生產出來。為了處理鐵精礦,人們發明了鐵礦球團化并將其工業化。球團精礦也用于燒結生產,如混合球團燒結(HPS)技術。為了解決燒結過程中的微細粉塵問題,最近設計了強力混合/微球化技術。這些技術為解決煉鐵和煉鋼粉塵問題樹立了良好典范。然而,由于粉塵產生率不足、多樣性高和異質性強,這些技術并不能解決上述所有問題。
煉鐵、煉鋼粉塵原地微球化是解決微細粉塵問題的合理選擇。一旦粉塵在生產地點造球,如果微球能保持良好的整合,上述對環境和生產的負面影響就消失了。因此,原地微球化煉鐵、煉鋼粉塵是一種很有前景的粉塵處理方法。安賽樂米塔爾研究了通過微球化減輕粉塵問題,研究和評價了各種微球制粒設備,包括實驗室輪胎制粒機、實驗室圓盤制粒機、工業回轉窯、實驗室高剪切混合機(HSM)、實驗室深筒制粒機、實驗室強力混合器和實驗室針式攪拌機等。本文對該研究進行了總結。
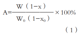
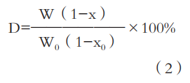
2 樣品、設備和方法 樣品——本研究選擇了來自美國安賽樂米塔爾轉爐車間的兩種轉爐電除塵器(ESP)粉塵和一種酸洗氧化鐵粉塵作為研究對象。第一個轉爐車間煙氣凈化系統有兩套煙氣凈化設施。一級除塵器是收集粗粉塵的分離箱,二級除塵器是收集細粉塵的電除塵器。粗粉塵和細粉塵混合,通過氣動輸送至粉塵筒倉。第二個轉爐車間的煙氣凈化系統中還設有兩級除塵系統。第一級氣體凈化器是一個噴射箱,它通過噴射霧化水來冷卻和清洗廢氣。噴射箱泥漿被泵入沉淀箱,在沉淀箱中產生濕砂,溢流污水被泵送至污水處理廠進行進一步處理。第二級氣體凈化器是一套ESP裝置,可捕捉細小的粉塵顆粒。細粉塵通過螺旋輸送機輸送到粉塵倉中。酸洗氧化鐵是在酸洗酸回收設施中產生的。 從ESP粉塵筒倉下方、ESP粉塵倉下方和酸洗氧化鐵堆中采集粉塵樣本。將樣品裝袋,密封在桶中并運至實驗室。到達實驗室后,通過充分混合使粉塵樣品均勻化,然后密封以備后續測試。 本研究測試了粉塵樣品的粒度分布和化學成分。結果分別列于表1和表2。 各種黏合劑已被測試用于粉塵的微球化,包括波特蘭水泥、玉米淀粉、粉煤灰、生石灰細粉和來自多家供應商的人工液體黏合劑。 微球制粒設備——在安賽樂米塔爾全球研發機構——東芝加哥實驗室,用實驗室輪胎制粒機和圓盤制粒機評估了各種粉塵的制粒潛力。在此之前,用輪胎制粒機和圓盤制粒機研究了燒結廠電除塵器ESP粉塵的微球團化。目前,安賽樂米塔爾的一家承包商測試了利用實驗室攪拌機制造BOF1 ESP粉塵微球的可能性。在供應商實驗室,用實驗室深筒制粒機和針式攪拌機也對BOF1和BOF2 ESP粉塵進行了測試。安賽樂米塔爾現有承包商已使用工業回轉窯生產BOF1 ESP粉塵的微球。用實驗室強力混合器在供應商實驗室進行了測試。用實驗室HSM已在供應商實驗室和安賽樂米塔爾全球研發機構——東芝加哥實驗室進行了廣泛測試。 評價方法——本研究的目的是制備優質的煉鐵、煉鋼粉塵微球,并將其用于燒結。在選擇微球制粒設備時,采用隨機觀察和定量測量相結合的方法,來評價是否可以制備出良好的微球。采用試錯法,優化制粒裝置的操作條件,被測微球的性能包括粒徑分布、抗壓強度、磨損強度、跌落強度和水穩定性。 對于在燒結中使用的微球,微球的目標尺寸范圍在1-6.35 mm之間。 當測量微球抗壓強度時,隨機選擇50個介于2.36-4.75mm之間的微球??箟簭姸扔肅hatillon壓縮試驗機測定,記錄抗壓強度(平均值和偏差)。 選擇200g 1-6.35mm的微球進行磨損試驗。樣品在1mm的篩網上搖晃5min。然后使用式(1)計算磨損指數: 式中:A為干基磨損指數(wt.%);W和W0分別為微球和原始樣品的質量;x和x0分別為微球和原始樣品的水分含量(wt.%)。 選擇了500g 1-6.35mm的微球進行跌落試驗。微球從指定的高度投到一個鋼制容器中。然后用一個1mm的篩子對落下的微球進行篩分。使用式(2)計算跌落指數: 式中:D為干燥條件下的跌落指數,wt.%;W和W0分別為微球和原始樣品的質量;x和x0分別為微球和原始樣品的水分含量(wt.%)。 使用以下程序測試水穩定性:1)取1000g 1-6.35mm的微球。2)在一個19L的桶里裝滿自來水。3)保持水流量為3.8L/min。將溢流水排入排水系統。4)將樣品放入1mm篩子中。輕輕地把篩子和微球放在裝滿水的桶里。將篩子和微球放在水中60min。5)將篩子和微球從水中取出。6)排空后,在105℃的烘箱中干燥顆粒。7)用1-mm篩子篩分干燥微球,并記錄超大微球的質量。8)使用式(3)計算微球的水穩定性指數: 式中:S為干基水穩定性指數,重量百分比;W為干基中存活微球的質量;W0為收到基的原始樣品質量以及x0為原始樣品中的水分含量(wt.%)。 3 結果與討論 微球制粒設備的選擇——在選擇微球制粒設備時,考慮了一些標準。首先,機器必須能夠制造出好的微球。與普通球團相比,微球的特點是尺寸更小。一些備選的制粒設備擅長于制造規則的大球團,而這些設備中的微顆粒傾向于快速聚集成大球團,并且無法達到所需的強度特性。因此,利用這些制粒裝置制備微球,將面臨防止大球團形成和強化微球的挑戰。其次,這些設備必須簡單緊湊,以適應現有的除塵區域,這些區域通常已經非常擁擠。第三,資金成本和運營成本很重要??偟膩碚f,這些裝置應該簡單有效。 安賽樂米塔爾已用工業回轉窯制造微球,其質量滿足燒結用微球的要求。因此,窯內微球可作為其他制粒設備評價的參考,微球的一些特性如表3所示。 雖然工業回轉窯能夠生產出高質量的微球,但由于其需要大量的資金和運營成本以及較大的場地,因此不能考慮采用工業回轉窯進行原地微球化。圓盤制粒機是制造常規大球團的設備。用攪拌機進行的試驗沒有成功,深筒制粒機與圓盤制粒機相似,有利于生產大粒徑球團。在大傾角操作下制備微球時,微球在制粒機中的停留時間明顯縮短,微球不成熟、強度弱。大量的原始粉塵通過微球排放。來自深筒制粒機的粉塵微球與參考微球相比,并不令人滿意。 針式攪拌機有一個旋轉軸,在旋轉軸上以特定的方式安裝許多銷。當針式攪拌機運行時,將灰塵和黏合劑引入攪拌機中并注入水。高速針混合并壓入灰塵形成微球。與圓盤制粒機和深筒制粒機相反,針式攪拌機可生產尺寸較小的微球。由于針式攪拌機高速運轉,可能會出現堵塞問題,因此進料在攪拌機中的停留時間較短。在各種轉速、粉塵類型、黏合劑類型和黏合劑用量的條件下,完全固化的針式攪拌機微球的抗壓強度始終小于1kgF/粒,遠低于參考微球。 因此,輪胎制粒機、圓盤制粒機、回轉窯、深筒制粒機和針式攪拌機都被排除在進一步調研之外。 強力混合器和高剪切混合機(HSM)都是緊湊、簡單的,能夠制造出好的微球。事實上,它們都有相同的逆流混合設計原理。然而,高剪切混合機(HSM)在資本投資和維護成本方面明顯便宜。因此,選擇高剪切混合機(HSM)進行進一步投資。 總的來看,各種制粒機的比較如表4所示。 利用實驗室高速剪切技術對煉鐵、煉鋼粉塵進行微球化處理,根據逆流混合原理設計了高剪切混合機(HSM)。攪拌盤和進料沿與槳葉相反的方向運動,從而實現高效混合。 BOF1 ESP粉塵的完全固化微球的性質如表5所示。結果表明,用高剪切混合機(HSM)制備的微球是令人滿意的。微球足夠堅固,能夠抵抗壓縮、跌落、磨損和水。而且,不同類型的黏合劑和黏合劑用量對微球的性能有很大的影響。在煉鐵和煉鋼粉塵的微球團化過程中,為了獲得最佳的經濟效益,需要對低價格的黏合劑進行優化。 利用實驗室HSM,成功制備了BOF2 ESP粉塵和酸洗氧化鐵微球。研究了微球的抗壓強度與固化天數,結果顯示了不同黏結劑對微球抗壓強度的影響。固化時間對微球的抗壓強度有很強的影響。在使用微球之前,需要足夠長的固化時間。 此外,本研究還發現,微球的抗壓強度與黏結劑的種類和用量密切相關。參考表5,值得注意的是,即使不添加任何黏合劑,微球也可以相當強。原因是BOF ESP粉塵中含有生石灰。從表2可以看出,BOF1和BOF2 ESP粉塵中都含有大量的CaO。轉爐電除塵器粉塵中的生石灰可以起到黏結劑的作用。在微球固化過程中,微球中的CaO能與空氣中的CO2反應,增強微球性能。生石灰的結合能力已得到證明,其中含有10%生石灰的酸洗氧化鐵微球顯示出很高的抗壓強度。 4 結論 本文介紹了安賽樂米塔爾對煉鐵和煉鋼粉塵微球化的研究情況。經過仔細評估,認為高剪切混合機(HSM)是煉鐵、煉鋼粉塵原地微球化的最佳選擇。試驗結果表明,采用高剪切混合器可以生產出滿意的微球。微球強度與固化時間密切相關。微球需要足夠長的固化時間。黏結劑類型和用量對微球的強度有很大的影響。石灰粉是一種理想的微球化黏結劑。 來源:銳思鋼鐵









