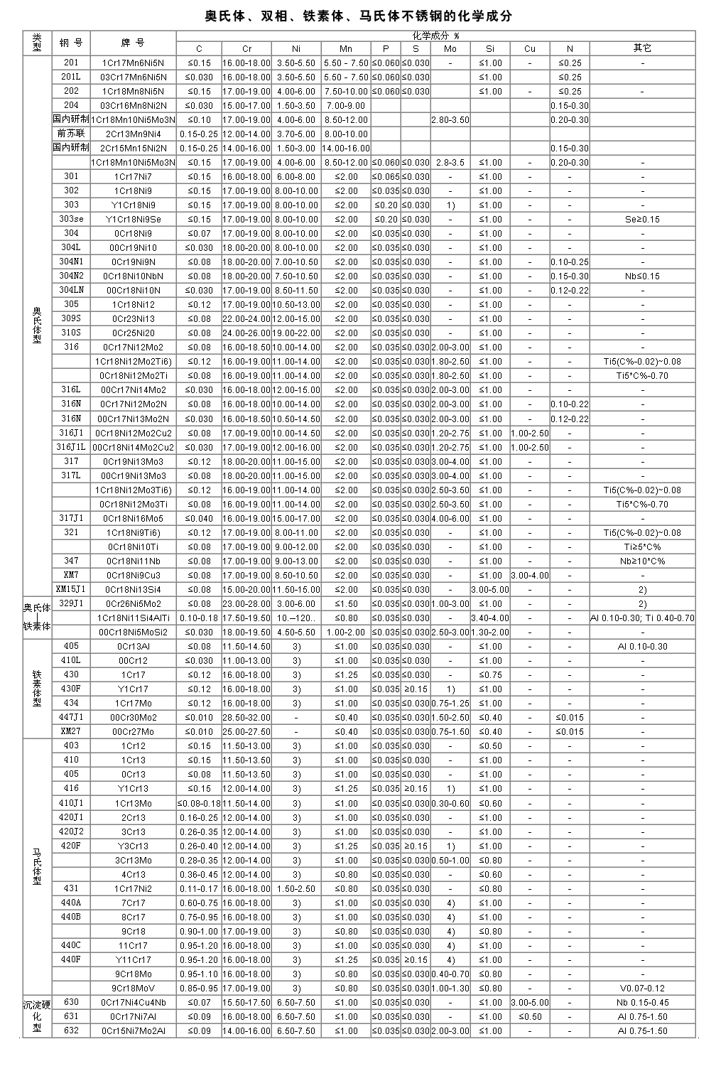
不銹鋼化學成分對照表
奧氏體,雙相,鐵素體,馬氏體 不銹鋼化學成份 對照表

不銹鋼化學成分對照表
奧氏體,雙相,鐵素體,馬氏體 不銹鋼化學成份 對照表
鋼號對照表,牌號,化學成分,對照表,不銹鋼,奧氏體,雙相,鐵素體,馬氏體,不銹鋼管,化學成份,鋼號,304,316,201,410,630,631,632,......
不銹鋼化學成分對照表
奧氏體,雙相,鐵素體,馬氏體 不銹鋼化學成份 對照表

不銹鋼化學成分對照表
奧氏體,雙相,鐵素體,馬氏體 不銹鋼化學成份 對照表
鋼號對照表,牌號,化學成分,對照表,不銹鋼,奧氏體,雙相,鐵素體,馬氏體,不銹鋼管,化學成份,鋼號,304,316,201,410,630,631,632,......
|
|
常州精密鋼管博客網推薦您訪問: |
|---|