鋼材金屬的 疲勞強度的影響因素有哪些?
通常我們通過手冊所獲得的S-N曲線大多是無缺口的標準試樣的試驗結果。但是實際零部件的形狀、尺寸、表面狀態、工作環境和工作載荷的特點都可能大不相同,而這些因素都對零部件的疲勞強度產生很大的影響。疲勞強度的影響因素可分為力學、冶金學和環境三個方面。這些因素互相聯系影響,使得在疲勞強度設計和疲勞壽命預測時,綜合評價這些因素影響變得復雜。
三類因素中,力學因素從根本上講可歸結為應力集中和平均應力的影響;冶金學因素可歸納為冶金質量即材料的純凈度和材料的強度;而環境因素主要有腐蝕介質和高溫的影響。對于鐵路車輛零部件大多數的情況是在大氣和常溫環境下工作的,所以一般情況下應主要考慮力學和冶金學兩類因素。它們包括缺口形狀的影響、尺寸的影響、表面狀態的影響和平均應力的影響等。關于這些因素對疲勞極限影響的具體數據相關的經驗公式,可查閱有關手冊和資料。這里主要討論疲勞強度設計和疲勞壽命預測時需要了解的一些比較重要的影響規律或現象,以及必須或應該考慮到的注意事項。
一、缺口形狀效應
零件或構件常常帶有如軸肩類的臺階、螺栓孔和油孔、鍵槽等所謂的缺口。如圖2-1所示,它們的共同特點是零件的橫截面積在缺口處發生了突變,而在這些缺口根部應力會急劇升高,這種現象叫做應力集中。
缺口處的應力集中是造成零部件疲勞強度大幅度下降的最主要的因素。應力集中使得缺口根部的實際應力遠大于名義應力,使該處產生疲勞裂紋,最終導致零件失效或破壞。應力集中的程度用應力集中系數(又稱理論應力集中系數)Kt來描述,表達式如下。

這里,σmax為最大應力,σ0為載荷除以缺口處凈截面積所的得平均應力,又稱名義應力。
在一定范圍內,缺口根部的曲率半徑ρ越小,應力集中程度越大,疲勞強度降低的程度也就越大。但是,對于低中碳鋼等塑性材料,當缺口根部的曲率半徑進一步減小甚至小于零點幾個毫米時,疲勞強度的降低程度會變的越來越小甚至不再降低。此時應力集中系數就無法真實地反映缺口對疲勞強度的影響。因此常用疲勞缺口系數Kf(fatigue notch factor,過去又被稱為有效應力集中系數)來更直接地反映疲勞強度的真實的降低程度。

這里,σw0,σw分別為無缺口光滑試樣和缺口試樣的疲勞極限。
圖14-4為鋼的應力集中系數Kt與疲勞缺口系數Kf之間的關系。由圖可見,對于低中碳鋼,在應力集中系數小于2~2.5時Kt與Kf基本相同,但當超過此數值時,Kf的增長速度明顯變慢。而對于高碳鋼等強度比較高的鋼,Kf隨Kt線性遞增的關系保持很長的范圍。由此可知,高強度鋼的疲勞強度對缺口的敏感性高而低中強度鋼的疲勞強度對缺口的敏感性較低。
一般情況下,Kf<Kt,但對于高碳鋼尖銳缺口,還有可能存在Kt>Kf的現象。對于螺栓類零件也存在這種現象,有時出現Kt為約4左右而Kf為8~10的情況。這主要是因為每個螺紋所分擔的載荷不均甚至載荷幾種在某扣螺紋上所致。
對于光滑材料,通過表面淬火、表面滲碳、表面氮化等表面熱處理可以有效地提高其疲勞強度。但是對于缺口材料,這些方法可能變的沒有效果甚至使疲勞強度反而降低。這是因為通過熱處理使其表面強度提高的同時,使缺口敏感性也變高的緣故。圖14-5為高強度鋼和塑性較好的低強度鋼的缺口材料的疲勞強度隨應力集中程度的增加而變化的情況。在應力集中Kt較小的范圍內,高強度鋼的疲勞強度明顯比低強度鋼的高。但隨著應力集中系數的增加,高強度鋼的疲勞強度的降低速度明顯大于低強度鋼者,以致于高強度鋼的疲勞強度與低強度鋼的疲勞強度相差無幾。
對于焊接構件,由于焊接熱影響區在許多情況下恰好處于結構性缺口部位或在其附近,加之焊接缺陷、焊接殘余拉應力的作用等,使得疲勞強度可能大幅下降幾倍甚至十幾倍。
疲勞缺口系數還受零部件尺寸大小的影響,一般地在具有相同缺口的情況下,隨著尺寸的增大其疲勞缺口系數也有所增大。
因此對于缺口材料或帶有缺口的零部件,為了提高其疲勞壽命,最有效的方法是合理地


進行結構設計和工藝選擇等手段來設法降低或改進它的應力集中情況。而一味地選用高強度鋼材,未必能夠達到目的,相反在表面較粗糙和尺寸較大的情況下有可能反而使構件的疲勞強度下降。
二、零件尺寸效應
用于疲勞試驗的式樣的直徑一般都在5~10mm的范圍內,這和實際零部件的尺寸有很大的差異。一般地,對于彎曲和扭轉載荷下的零件,隨著尺寸的增大疲勞強度降低。但是對于軸向拉伸和壓縮載荷的情況,尺寸大小的影響不大。尺寸對疲勞極限影響的大小用尺寸影響系數ε來表示。

這里,σd,σd0分別為任意尺寸和標準尺寸光滑試樣的疲勞極限。
高強度鋼的尺寸效應比低強度鋼的尺寸效應大,表面粗糙的零件的尺寸效應較大。
尺寸效應的產生主要是因為較大尺寸的材料的組織狀態和應力梯度對疲勞強度產生了影響。材料的尺寸越大制造工藝過程越難控制,材料組織的致密性和均勻性等越差、冶金缺陷越多,表面積越大這些缺陷的數量也越多,因此大尺寸試樣表面產生疲勞、裂紋的機會也就越大。而這些從根本上來說又都可以歸結為冶金缺陷造成了局部應力集中而導致了疲勞裂紋的產生。
關于應力梯度的影響,在承受彎曲、扭轉等載荷的情況下,零件的尺寸越大工作應力的梯度越小,單位面積內的平均應力就越高,疲勞裂紋越易產生。
三、表面狀況的影響
表面狀況包括表面粗糙度、表面應力狀態、表面塑性變形程度和表面缺陷等因素。在試驗中采用的是表面磨光(或拋光)的標準試樣,但實際的零部件的表面則往往是機械加工表面鍛造表面和鑄造表面。
機械加工會在零件表面產生塑性加工硬化。切削加工往往會在零件表面產生一定的殘余壓應力,這對疲勞強度是有利的但效果有限。但是在磨削時往往會產生對疲勞強度不利的殘余拉應力。另一方面,機械加工表面的顯微尺度上的凸凹不平引會起應力集中而使疲勞強度降低。這些因素綜合作用的結果,使疲勞強度比標準試樣的要降低一些。而鍛造或鑄造表面一般具有更高的表面粗糙度,且部存在表面加工硬化層和表面殘余壓應力,因此會更加明顯地降低疲勞強度。因此從形式上看,越是粗糙的表面加工方法,對疲勞強度的降低影響就越大。表面加工狀況對疲勞強度的影響用表面加工系數β來表示。
這里,σβ為某種表面狀態下標準光滑試樣的疲勞極限,σβ0為磨光標準光滑試樣的疲勞極限,國外為表面磨光的標準光滑試樣。
從冶金角度看,粗加工對高強度材料的疲勞強度的影響更大,以至于在粗加工狀態下高強度鋼可能起不到絲毫的提高疲勞強度的作用。這主要是因為高強度材料對粗糙表面的缺口敏感性高的緣故,加之機械加工對于高強度鋼的表面的加工硬化作用也很小。
關于表面脫碳、表面碰磕傷痕和劃傷等表面缺陷等對疲勞強度的影響的研究較少,但這些偶然原因造成的表面缺陷會對疲勞強度造成很大的影響。因此,在設計尤其是制造過程中需要給予足夠的重視。
對于光滑材料,表面熱處理等表面改性方法可以提高疲勞強度,但對于實際零部件等帶有缺口的材料,這些方法都效果不大,甚至產生相反的作用。因此多用噴丸、輥壓的方法使表面產生加工硬化和殘余壓應力,從而提高構件的疲勞強度,但是這兩種方法一般對孔口類缺口的零件的疲勞強度的提高作用并不明顯。
最新的研究表明,用簡單的金屬模具對孔口邊緣進行少量倒角從而使缺口部位殘生局部塑性變形的方法,對疲勞強度有明顯的提高,甚至可以完全消除缺口降低疲勞極限的影響。過去大多認為,表面塑性加工的方法提高疲勞強度的主要原因是在表面產生了殘余壓應力從而抵消了部分工作應力的緣故。實際上是殘余壓應力在缺口部位產生的壓縮集中應力抵消了缺口的不利影響;塑性變形使得缺口附近組織中的微小薄弱區域得到強化,使組織性能變的更加均勻一致,整體強度得到提高,從而使產生疲勞裂紋的應力水平得到提高。同時,殘余壓應力還使疲勞裂紋擴展停止而成為停留裂紋。
四、平均應力的影響
如前所述,產生疲勞破壞的根本原因是動應力分量,但靜應力分量即平均應力對疲勞極限也有一定的影響。在一定的靜應力范圍內,壓縮的靜應力提高疲勞極限,拉伸的靜應力降低疲勞極限。一般認為,殘余應力對疲勞極限的作用同平均應力的作用相同。對一種材料, 可根據它在各種平均應力或應力比R下的疲勞極限結果畫出疲勞極限圖。
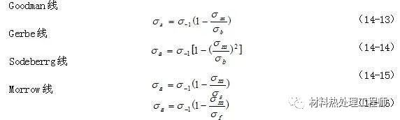
圖14-6的橫坐標為平均應力σm(或殘余應力)和強度極限σb的比值,縱坐標為應力

幅σa和對稱循環疲勞極限σ-1的比值,兩者都是無量綱的量。從圖中可以看出,多數試驗數據點落在直線與曲線之間。這條直線稱為古德曼(Goodman)線,見式(14-13);曲線就是杰柏(Gerber)拋物線,見式(14-14);用屈服極限σs代替σb得到索德柏格(Soderberg)線,見式(14-15);用斷裂真應力σf代替σb,得到摩儒(Morrow)線,見式(14-16)。

古德曼(Goodman)線對于延性金屬略偏保守且簡單方便,在疲勞設計中應用最廣。常用的還有另一種叫做理想的改進Goodman圖。圖14-7為工字形型鋼對接梁彎曲疲勞載荷下理想的改進Goodman圖。橫坐標表示最小應力σmin,縱坐標表示最大應力σmax,其直線方程式為
式中,m是Goodman線的斜率,b為直線在y軸上的截距,它是最小應力等于零時即脈動循環的疲勞極限。疲勞極限用最大應力表示時,即σw=σmax,考慮到應力比R=σmax/σmin,由式(14-6)有

由式(14-18)即可求出應力比為R時的疲勞極限。實際車輛的具體結構要遠比獲得S-N曲線時的試驗條件復雜,例如焊接形式及應力集中等等,美國AAR標準為我們提供了許多典型焊接結構疲勞強度方面的有價值的參考,所以,實際計算中的b與m均取自于AAR標準。
試驗研究表明,靜載分量對應力集中系數、尺寸系數、表面系數的影響較小,可以忽略。
?來源:材料熱處理工程師
相關文章:
(本平臺"常州精密鋼管博客網"的部分圖文來自網絡轉載,轉載目的在于傳遞更多技術信息。我們尊重原創,版權歸原作者所有,若未能找到作者和出處望請諒解,敬請聯系主編微信號:steel_tube,進行刪除或付稿費,多謝!)


